PageRank è un marchio registrato e brevettato da Google il 9 gennaio del 1999, che comprende una serie di algoritmi per assegnare una rilevanza alle pagine web indicizzate dal motore di ricerca.
È stato sviluppato dai fondatori di Google, Larry Page e Sergey Brin.
PageRank si basa sulla natura democratica del Web utilizzando la sua vasta struttura di link come un indicatore del valore di una determinata pagina.

Data l’importanza commerciale apparire tra i primi risultati dei motori di ricerca, abbiamo progettato diversi metodi per manipolare artificialmente il PageRank, tra i metodi artificiosi bastava aggiungere collegamenti a un certo sito web in luoghi come blog, guestbook, forum su Internet, ecc con l’intenzione di aumentare il numero di link che puntano alla pagina.
All’inizio del 2005, Google ha implementato un nuovo attributo per i collegamenti ipertestuali rel = “nofollow” come un tentativo di combattere lo spam. Così, quando il peso di una pagina non è calcolato tenendo conto dei legami che hanno questo attributo.
Ad oggi Il PageRank non viene aggiornato dal dicembre 2013 e l’ultima volta che un portavoce di Google ha detto qualcosa al riguardo era chiaro che non c’era alcuna intenzione di farlo:
“Più di un anno non abbiamo aggiornato il PageRank (come ricordo) e non ha intenzione di farlo in futuro.
John Mueller Webmaster Analyst 22/11/14 “
Allora la domanda nasce spontanea:
Ma il Pagerank è morto?
La risposta è sì e no.
Sì, perché il vero PageRank, che utilizza Google, continua ad essere aggiornato, anche se noi non ne vediamo realmente gli effetti. Il Google PageRank (PR in breve) è uno dei fattori più importanti (anche se non l’unico) per determinare come i risultati arriveranno nella ricerca della tua pagina.
La teoria per il calcolo di PR
Ogni collegamento viene interpretata come un “voto di fiducia” ad una pagina, più voti, maggiore autorità e so ottiene più alto PageRank, che facilita un migliore posizionamento.
Naturalmente questa è una spiegazione semplificata, perché Google tiene conto anche di altri fattori per il posizionamento.
Fattori di ranking che influiscono all’aumento del pagerank
- Autorità del dominio che fornisce il collegamento;
- Il nome del dominio Nomi dei file e cartelle;
- Struttura del sito;
- Struttura della pagina;
- Title – il tag più importante;
- Meta tag – l’uso corretto;
- Robots tag;
- L’attributo “alt” delle immagini;
- Testo con la quale si collega (“anchor text”);
- I contenuti;
- Rilevanza sulla posizione del link, nel piè di pagina il collegamento ipertestuale possiede meno autorevolezza;
- link popularity;
- La rilevanza tematica della pagina con il link in uscita.
L’algoritmo calcola il PR si basa su formule matematiche sviluppate da Google, le cui variabili attuale sono in gran parte sconosciuti.
Calcolo del Pagerank
Se siete interessati alla matematica o siete curiosi per capire come avviene il calcolo è possibile visitare la pagina prchecker.info (in Inglese) che fornisce una approssimazione di come potrebbe funzionare l’algoritmo.
Come funziona il Page Rank?
Per comprendere il complesso funzionamento di questo algoritmo, proporremo un esempio ipotizzando che ci fossero solo 4 pagine Web nella rete: A , B , C e D.
1) Contributi iniziali :
in questo caso sappiamo che la probabilità iniziale che un utente finisca di visitare una delle 4 ragnatele è 1/4 = 0,25 (PageRank (PR) = 0,25).
2) Importanza dei link in uscita di ogni pagina :
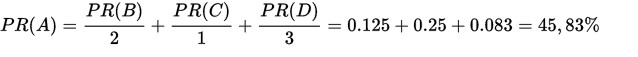
se ci fossero solo i link delle pagine B , C e D verso la pagina A , essi concederebbero un valore di PageRank di 0,25 ciascuno di essi.
PR (A) = PR (B) + PR (C) + PR (D) = 0,75
Vediamo anche che B ha un collegamento a C e che D collega a tutte le altre pagine. Così abbiamo che B dà un voto vale 0.125 alla pagina A e un voto vale 0.125 a C . Infine sappiamo che D fornisce il PageRank di 0083 A .

Allo stesso modo otteniamo il resto dei valori di PageRank:
- (B) = 16.67%
- (C) = 29.17%
- (D) = 8.33%
Pertanto, il valore di una pagina x può essere espresso come:
dove:
- PR (x) è il PageRank della pagina x
- PR (y) sono i valori di PageRank che hanno ciascuna delle pagine e che collegano a x ,
- L (y) è il numero totale di link in uscita sulla pagina e (anche se non sono x );
3) Interpretazione dei valori ottenuti :
Il Web B ha un valore superiore a C , sebbene abbia meno collegamenti ad esso; Ciò è dovuto al fatto che l’importanza di questo collegamento è maggiore. Un altro dettaglio importante è sapere che A , sebbene non abbia un link di uscita, equivale ad avere collegamenti a tutti i siti Web, poiché costringe l’utente ad aprire una nuova pagina volontariamente e la probabilità di accedervi, Ce n’è uno in particolare uguale per tutti.
Concetti importanti sul PageRank
- PageRank è calcolato tenendo conto della quantità e della qualità dei collegamenti sono pervenute, in modo da non perdere troppo tempo a caccia di link “facili” di dubbia qualità.
- Ogni pagina ha un PageRank, (se correttamente indicizzata).
- PageRank funziona su una scala logaritmica, è meglio la qualità che la quantità : è un vantaggio avere un link con PR6 con centinaia di link da pagine con PR1.
- Un alto PageRank non garantisce una buona posizione, ma aiuta.
Google non aggiorna il Pagerank, quali sono le alternative?
I più noti e affidabili sono i servizi offerti da Moz e majestic.com offro metriche sviluppate per ottenere un’analisi semplice ma molto affidabile dei link e della concorrenza.
Tramite queste due risorse si capisce che il PageRank non è morto, esiste ancora, ed è in buona salute.
Quello che succede è che Google oggi, utilizza altre informazioni per calcolare il ranking della pagina.
Perché non lo fa?
La teoria che mi convince è quello di indebolire i SEO professionisti e gli spammer. Senza un PR pubblico aggiornato le campagne di link building sono più complicate.
Potrebbe Piacerti:
Lista dei Migliori servizi Ping
Come generare una sitemap
Lista Directory per pubblicizzare un sito

